Thinking in arrays#
Originally presented as part of HSF-India training on December 18, 2023.
So far, all the arrays we’ve dealt with have been rectangular (in $n$ dimensions; “rectilinear”).

What if we had data like this?
[
[[1.84, 0.324]],
[[-1.609, -0.713, 0.005], [0.953, -0.993, 0.011, 0.718]],
[[0.459, -1.517, 1.545], [0.33, 0.292]],
[[-0.376, -1.46, -0.206], [0.65, 1.278]],
[[], [], [1.617]],
[]
]
[
[[-0.106, 0.611]],
[[0.118, -1.788, 0.794, 0.658], [-0.105]]
]
[
[[-0.384], [0.697, -0.856]],
[[0.778, 0.023, -1.455, -2.289], [-0.67], [1.153, -1.669, 0.305, 1.517, -0.292]]
]
[
[[0.205, -0.355], [-0.265], [1.042]],
[[-0.004], [-1.167, -0.054, 0.726, 0.213]],
[[1.741, -0.199, 0.827]]
]
What if we had data like this?
[
{"fill": "#b1b1b1", "stroke": "none", "points": [{"x": 5.27453, "y": 1.03276},
{"x": -3.51280, "y": 1.74849}]},
{"fill": "#b1b1b1", "stroke": "none", "points": [{"x": 8.21630, "y": 4.07844},
{"x": -0.79157, "y": 3.49478}, {"x": 16.38932, "y": 5.29399},
{"x": 10.38641, "y": 0.10832}, {"x": -2.07070, "y": 14.07140},
{"x": 9.57021, "y": -0.94823}, {"x": 1.97332, "y": 3.62380},
{"x": 5.66760, "y": 11.38001}, {"x": 0.25497, "y": 3.39276},
{"x": 3.86585, "y": 6.22051}, {"x": -0.67393, "y": 2.20572}]},
{"fill": "#d0d0ff", "stroke": "none", "points": [{"x": 3.59528, "y": 7.37191},
{"x": 0.59192, "y": 2.91503}, {"x": 4.02932, "y": -1.13601},
{"x": -1.01593, "y": 1.95894}, {"x": 1.03666, "y": 0.05251}]},
{"fill": "#d0d0ff", "stroke": "none", "points": [{"x": -8.78510, "y": -0.00497},
{"x": -15.22688, "y": 3.90244}, {"x": 5.74593, "y": 4.12718}]},
{"fill": "none", "stroke": "#000000", "points": [{"x": 4.40625, "y": -6.953125},
{"x": 4.34375, "y": -7.09375}, {"x": 4.3125, "y": -7.140625},
{"x": 4.140625, "y": -7.140625}]},
{"fill": "none", "stroke": "#808080", "points": [{"x": 0.46875, "y": -0.09375},
{"x": 0.46875, "y": -0.078125}, {"x": 0.46875, "y": 0.53125}]}
]
What if we had data like this?
[
{"movie": "Evil Dead", "year": 1981, "actors":
["Bruce Campbell", "Ellen Sandweiss", "Richard DeManincor", "Betsy Baker"]
},
{"movie": "Darkman", "year": 1900, "actors":
["Liam Neeson", "Frances McDormand", "Larry Drake", "Bruce Campbell"]
},
{"movie": "Army of Darkness", "year": 1992, "actors":
["Bruce Campbell", "Embeth Davidtz", "Marcus Gilbert", "Bridget Fonda",
"Ted Raimi", "Patricia Tallman"]
},
{"movie": "A Simple Plan", "year": 1998, "actors":
["Bill Paxton", "Billy Bob Thornton", "Bridget Fonda", "Brent Briscoe"]
},
{"movie": "Spider-Man 2", "year": 2004, "actors":
["Tobey Maguire", "Kristen Dunst", "Alfred Molina", "James Franco",
"Rosemary Harris", "J.K. Simmons", "Stan Lee", "Bruce Campbell"]
},
{"movie": "Drag Me to Hell", "year": 2009, "actors":
["Alison Lohman", "Justin Long", "Lorna Raver", "Dileep Rao", "David Paymer"]
}
]
What if we had data like this?
[
{"run": 1, "luminosityBlock": 156, "event": 46501,
"PV": {"x": 0.243, "y": 0.393, "z": 1.451},
"electron": [],
"muon": [
{"pt": 63.043, "eta": -0.718, "phi": 2.968, "mass": 0.105, "charge": 1},
{"pt": 38.120, "eta": -0.879, "phi": -1.032, "mass": 0.105, "charge": -1},
{"pt": 4.048, "eta": -0.320, "phi": 1.038, "mass": 0.105, "charge": 1}
],
"MET": {"pt": 21.929, "phi": -2.730}
},
{"run": 1, "luminosityBlock": 156, "event": 46502,
"PV": {"x": 0.244, "y": 0.395, "z": -2.879},
"electron": [
{"pt": 21.902, "eta": -0.702, "phi": 0.133, "mass": 0.005, "charge": 1},
{"pt": 42.632, "eta": -0.979, "phi": -1.863, "mass": 0.008, "charge": 1},
{"pt": 78.012, "eta": -0.933, "phi": -2.207, "mass": 0.018, "charge": -1},
{"pt": 23.835, "eta": -1.362, "phi": -0.621, "mass": 0.008, "charge": -1}
],
"muon": [],
"MET": {"pt": 16.972, "phi": 2.866}},
...
]
It might be possible to turn these datasets into tabular form using surrogate keys and database normalization, but
they could be inconvenient or less efficient in that form, depending on what we want to do,
they were very likely given in a ragged/untidy form. You can’t ignore the data-cleaning step!
Dealing with these datasets as JSON or Python objects is inefficient for the same reason as for lists of numbers.
We want arbitrary data structure with array-oriented interface and performance…
Libraries for irregular arrays#
import pyarrow as pa
arrow_array = pa.array([
[{"x": 1.1, "y": [1]}, {"x": 2.2, "y": [1, 2]}, {"x": 3.3, "y": [1, 2, 3]}],
[],
[{"x": 4.4, "y": [1, 2, 3, 4]}, {"x": 5.5, "y": [1, 2, 3, 4, 5]}]
])
arrow_array.type
ListType(list<item: struct<x: double, y: list<item: int64>>>)
arrow_array
<pyarrow.lib.ListArray object at 0x7f8296b018a0>
[
-- is_valid: all not null
-- child 0 type: double
[
1.1,
2.2,
3.3
]
-- child 1 type: list<item: int64>
[
[
1
],
[
1,
2
],
[
1,
2,
3
]
],
-- is_valid: all not null
-- child 0 type: double
[]
-- child 1 type: list<item: int64>
[],
-- is_valid: all not null
-- child 0 type: double
[
4.4,
5.5
]
-- child 1 type: list<item: int64>
[
[
1,
2,
3,
4
],
[
1,
2,
3,
4,
5
]
]
]
import awkward as ak
awkward_array = ak.from_arrow(arrow_array)
awkward_array
[[{x: 1.1, y: [1]}, {x: 2.2, y: [...]}, {x: 3.3, y: [1, 2, 3]}],
[],
[{x: 4.4, y: [1, 2, 3, 4]}, {x: 5.5, y: [1, ..., 5]}]]
----------------------------------------------------------------
backend: cpu
nbytes: 200 B
type: 3 * var * ?{
x: ?float64,
y: option[var * ?int64]
}ak.to_parquet(awkward_array, "/tmp/file.parquet")
<pyarrow._parquet.FileMetaData object at 0x7f829733cf40>
created_by: parquet-cpp-arrow version 21.0.0
num_columns: 2
num_rows: 3
num_row_groups: 1
format_version: 2.6
serialized_size: 0
ak.from_parquet("/tmp/file.parquet")
[[{x: 1.1, y: [1]}, {x: 2.2, y: [...]}, {x: 3.3, y: [1, 2, 3]}],
[],
[{x: 4.4, y: [1, 2, 3, 4]}, {x: 5.5, y: [1, ..., 5]}]]
----------------------------------------------------------------
backend: cpu
nbytes: 200 B
type: 3 * var * ?{
x: ?float64,
y: option[var * ?int64]
}Awkward Array#
ragged = ak.Array([
[
[[1.84, 0.324]],
[[-1.609, -0.713, 0.005], [0.953, -0.993, 0.011, 0.718]],
[[0.459, -1.517, 1.545], [0.33, 0.292]],
[[-0.376, -1.46, -0.206], [0.65, 1.278]],
[[], [], [1.617]],
[]
],
[
[[-0.106, 0.611]],
[[0.118, -1.788, 0.794, 0.658], [-0.105]]
],
[
[[-0.384], [0.697, -0.856]],
[[0.778, 0.023, -1.455, -2.289], [-0.67], [1.153, -1.669, 0.305, 1.517, -0.292]]
],
[
[[0.205, -0.355], [-0.265], [1.042]],
[[-0.004], [-1.167, -0.054, 0.726, 0.213]],
[[1.741, -0.199, 0.827]]
]
])
Multidimensional indexing
ragged[3, 1, -1, 2]
np.float64(0.726)
Basic slicing
ragged[3, 1:, -1, 1:3]
[[-0.054, 0.726], [-0.199, 0.827]] ----------------- backend: cpu nbytes: 56 B type: 2 * var * float64
Advanced slicing
ragged[[False, False, True, True], [0, -1, 0, -1], 0, -1]
[-0.384, 0.827] -------- backend: cpu nbytes: 16 B type: 2 * float64
Awkward slicing
ragged > 0
[[[[True, True]], [[False, False, True], [True, ..., True]], ..., [...], []], [[[False, True]], [[True, False, True, True], [False]]], [[[False], [True, False]], [[True, True, False, False], ..., [...]]], [[[True, False], [False], [True]], [[False], ...], [[True, False, True]]]] ----------------------------------------------------------------------------- backend: cpu nbytes: 404 B type: 4 * var * var * var * bool
ragged[ragged > 0]
[[[[1.84, 0.324]], [[0.005], [0.953, 0.011, 0.718]], [...], ..., [[], ...], []], [[[0.611]], [[0.118, 0.794, 0.658], []]], [[[], [0.697]], [[0.778, 0.023], [], [1.15, 0.305, 1.52]]], [[[0.205], [], [1.04]], [[], [0.726, 0.213]], [[1.74, 0.827]]]] -------------------------------------------------------------------------------- backend: cpu nbytes: 584 B type: 4 * var * var * var * float64
Reductions
ak.sum(ragged)
np.float64(2.898)
ak.sum(ragged, axis=-1)
[[[2.16], [-2.32, 0.689], [0.487, 0.622], [-2.04, ...], [0, 0, 1.62], []], [[0.505], [-0.218, -0.105]], [[-0.384, -0.159], [-2.94, -0.67, 1.01]], [[-0.15, -0.265, 1.04], [-0.004, -0.282], [2.37]]] -------------------------------------------------------------------------- backend: cpu nbytes: 344 B type: 4 * var * var * float64
ak.sum(ragged, axis=0)
[[[1.56, 0.58], [0.432, -0.856], [1.04]], [[-0.717, -2.48, -0.656, -1.63], ..., [1.15, -1.67, 0.305, 1.52, -0.292]], [[2.2, -1.72, 2.37], [0.33, 0.292]], [[-0.376, -1.46, -0.206], [0.65, 1.28]], [[], [], [1.62]], []] --------------------------------------------------------------------------- backend: cpu nbytes: 904 B type: 6 * var * var * float64
How do we even define reductions on an array with variable length lists?
How do we even define reductions on an array with variable length lists?
array = ak.Array([[ 1, 2, 3, 4],
[ 10, None, 30 ],
[ 100, 200 ]])
ak.sum(array, axis=0).tolist()
[111, 202, 33, 4]
ak.sum(array, axis=1).tolist()
[10, 40, 300]
(You almost always want the deepest/maximum axis, which you can get with axis=-1.)
Awkward Arrays in particle physics#
import uproot
file = uproot.open("https://github.com/jpivarski-talks/2023-12-18-hsf-india-tutorial-bhubaneswar/raw/main/data/SMHiggsToZZTo4L.root")
file
<ReadOnlyDirectory '/' at 0x7f829612dbd0>
tree = file["Events"]
tree
<TTree 'Events' (32 branches) at 0x7f8297cde010>
tree.arrays(entry_stop=100)
[{run: 1, luminosityBlock: 156, event: 46501, PV_npvs: 15, PV_x: 0.244, ...},
{run: 1, luminosityBlock: 156, event: 46502, PV_npvs: 13, PV_x: 0.244, ...},
{run: 1, luminosityBlock: 156, event: 46503, PV_npvs: 11, PV_x: 0.242, ...},
{run: 1, luminosityBlock: 156, event: 46504, PV_npvs: 22, PV_x: 0.243, ...},
{run: 1, luminosityBlock: 156, event: 46505, PV_npvs: 18, PV_x: 0.24, ...},
{run: 1, luminosityBlock: 156, event: 46506, PV_npvs: 5, PV_x: 0.243, ...},
{run: 1, luminosityBlock: 156, event: 46507, PV_npvs: 11, PV_x: 0.242, ...},
{run: 1, luminosityBlock: 156, event: 46508, PV_npvs: 25, PV_x: 0.245, ...},
{run: 1, luminosityBlock: 156, event: 46509, PV_npvs: 12, PV_x: 0.246, ...},
{run: 1, luminosityBlock: 156, event: 46510, PV_npvs: 18, PV_x: 0.244, ...},
...,
{run: 1, luminosityBlock: 156, event: 46592, PV_npvs: 26, PV_x: 0.243, ...},
{run: 1, luminosityBlock: 156, event: 46593, PV_npvs: 12, PV_x: 0.243, ...},
{run: 1, luminosityBlock: 156, event: 46594, PV_npvs: 8, PV_x: 0.246, ...},
{run: 1, luminosityBlock: 156, event: 46595, PV_npvs: 17, PV_x: 0.243, ...},
{run: 1, luminosityBlock: 156, event: 46596, PV_npvs: 17, PV_x: 0.245, ...},
{run: 1, luminosityBlock: 156, event: 46597, PV_npvs: 14, PV_x: 0.243, ...},
{run: 1, luminosityBlock: 156, event: 46598, PV_npvs: 22, PV_x: 0.243, ...},
{run: 1, luminosityBlock: 156, event: 46599, PV_npvs: 13, PV_x: 0.245, ...},
{run: 1, luminosityBlock: 156, event: 46600, PV_npvs: 21, PV_x: 0.246, ...}]
-----------------------------------------------------------------------------
backend: cpu
nbytes: 35.0 kB
type: 100 * {
run: int32,
luminosityBlock: uint32,
event: uint64,
PV_npvs: int32,
PV_x: float32,
PV_y: float32,
PV_z: float32,
nMuon: uint32,
Muon_pt: var * float32,
Muon_eta: var * float32,
...
}The same data fits into Parquet files (a little more easily).
events = ak.from_parquet("https://github.com/jpivarski-talks/2023-12-18-hsf-india-tutorial-bhubaneswar/raw/main/data/SMHiggsToZZTo4L.parquet")
events
[{run: 1, luminosityBlock: 156, event: 46501, PV: {...}, electron: [], ...},
{run: 1, luminosityBlock: 156, event: 46502, PV: {...}, electron: [...], ...},
{run: 1, luminosityBlock: 156, event: 46503, PV: {...}, electron: [...], ...},
{run: 1, luminosityBlock: 156, event: 46504, PV: {...}, electron: ..., ...},
{run: 1, luminosityBlock: 156, event: 46505, PV: {...}, electron: [...], ...},
{run: 1, luminosityBlock: 156, event: 46506, PV: {...}, electron: ..., ...},
{run: 1, luminosityBlock: 156, event: 46507, PV: {...}, electron: ..., ...},
{run: 1, luminosityBlock: 156, event: 46508, PV: {...}, electron: ..., ...},
{run: 1, luminosityBlock: 156, event: 46509, PV: {...}, electron: [...], ...},
{run: 1, luminosityBlock: 156, event: 46510, PV: {...}, electron: [], ...},
...,
{run: 1, luminosityBlock: 996, event: 298792, PV: {...}, electron: [...], ...},
{run: 1, luminosityBlock: 996, event: 298793, PV: {...}, electron: ..., ...},
{run: 1, luminosityBlock: 996, event: 298794, PV: {...}, electron: [], ...},
{run: 1, luminosityBlock: 996, event: 298795, PV: {...}, electron: [...], ...},
{run: 1, luminosityBlock: 996, event: 298796, PV: {...}, electron: [], ...},
{run: 1, luminosityBlock: 996, event: 298797, PV: {...}, electron: ..., ...},
{run: 1, luminosityBlock: 996, event: 298798, PV: {...}, electron: [], ...},
{run: 1, luminosityBlock: 996, event: 298799, PV: {...}, electron: [...], ...},
{run: 1, luminosityBlock: 996, event: 298800, PV: {...}, electron: [...], ...}]
--------------------------------------------------------------------------------
backend: cpu
nbytes: 53.2 MB
type: 299973 * {
run: int32,
luminosityBlock: int64,
event: uint64,
PV: Vector3D[
x: float32,
y: float32,
z: float32
],
electron: var * Momentum4D[
pt: float32,
...
}View the first event as Python lists and dicts (like JSON).
events[0].to_list()
{'run': 1,
'luminosityBlock': 156,
'event': 46501,
'PV': {'x': 0.24369880557060242,
'y': 0.3936990201473236,
'z': 1.451307773590088},
'electron': [],
'muon': [{'pt': 63.04386901855469,
'eta': -0.7186822295188904,
'phi': 2.968005895614624,
'mass': 0.10565836727619171,
'charge': 1,
'pfRelIso03_all': 0.0,
'pfRelIso04_all': 0.0,
'dxy': -0.004785160068422556,
'dxyErr': 0.0060764215886592865,
'dz': 0.09005985409021378,
'dzErr': 0.044572051614522934},
{'pt': 38.12034606933594,
'eta': -0.8794569969177246,
'phi': -1.0324749946594238,
'mass': 0.10565836727619171,
'charge': -1,
'pfRelIso03_all': 0.0,
'pfRelIso04_all': 0.0,
'dxy': 0.0005746808601543307,
'dxyErr': 0.0013040687190368772,
'dz': -0.0032290113158524036,
'dzErr': 0.003023269586265087},
{'pt': 4.04868745803833,
'eta': -0.320764422416687,
'phi': 1.0385035276412964,
'mass': 0.10565836727619171,
'charge': 1,
'pfRelIso03_all': 0.0,
'pfRelIso04_all': 0.17997965216636658,
'dxy': -0.00232272082939744,
'dxyErr': 0.004343290813267231,
'dz': -0.005162843037396669,
'dzErr': 0.004190043080598116}],
'MET': {'pt': 21.929929733276367, 'phi': -2.7301223278045654}}
Get one numeric field (also known as “column”).
events.electron.pt
[[], [21.9, 42.6, 78, 23.8], [11.6, 6.69], [10.4], [30.7, 29.2, 6.38, 6.24], [16.1], [5.32], [6.99], [41, 6.5, 13.1, 52.1], [], ..., [19.1, 9.69], [30.2], [], [37, 7.36, 48], [], [12.3], [], [17.9, 23.2], [48.1, 38.7]] -------------------------- backend: cpu nbytes: 4.1 MB type: 299973 * var * float32
Compute something ($p_z = p_T \sinh\eta$).
import numpy as np
events.electron.pt * np.sinh(events.electron.eta)
[[], [-16.7, -48.8, -83.9, -43.5], [-11.1, 26], [-0.237], [-19.9, 47.5, -18, -15.1], [5.58], [-3.22], [3.88], [-8.92, -10.5, -23.8, -17.3], [], ..., [26.4, 19.1], [92.2], [], [-193, -2.78, -43.4], [], [-3.4], [], [80.1, 99.3], [26.8, 74]] ------------------------------ backend: cpu nbytes: 4.1 MB type: 299973 * var * float32
Note that the Vector library works with Awkward Arrays, if it is imported this way:
import vector
vector.register_awkward()
Records with name="Momentum4D" and fields with coordinate names (px, py, pz, E or pt, phi, eta, m) automatically get Vector properties and methods.
events.electron.type.show()
299973 * var * Momentum4D[
pt: float32,
eta: float32,
phi: float32,
mass: float32,
charge: int32,
pfRelIso03_all: float32,
dxy: float32,
dxyErr: float32,
dz: float32,
dzErr: float32
]
# implicitly computes pz = pt * sinh(eta)
events.electron.pz
[[], [-16.7, -48.8, -83.9, -43.5], [-11.1, 26], [-0.237], [-19.9, 47.5, -18, -15.1], [5.58], [-3.22], [3.88], [-8.92, -10.5, -23.8, -17.3], [], ..., [26.4, 19.1], [92.2], [], [-193, -2.78, -43.4], [], [-3.4], [], [80.1, 99.3], [26.8, 74]] ------------------------------ backend: cpu nbytes: 4.1 MB type: 299973 * var * float32
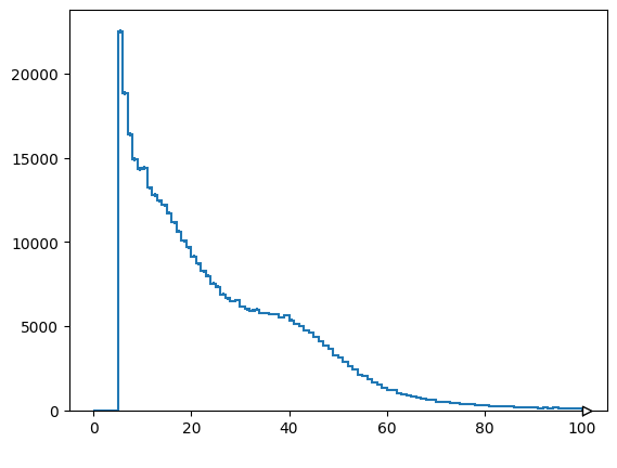
To make histograms or other plots, we need numbers without structure, so ak.flatten() the array.
from hist import Hist
Hist.new.Regular(100, 0, 100, name=" ").Double().fill(
ak.flatten(events.electron.pt)
).plot();
Each event has a different number of electrons and muons (ak.num() to check).
ak.num(events.electron), ak.num(events.muon)
(<Array [0, 4, 2, 1, 4, 1, 1, 1, ..., 0, 3, 0, 1, 0, 2, 2] type='299973 * int64'>,
<Array [3, 0, 0, 7, 0, 2, 1, 0, ..., 2, 0, 2, 2, 4, 0, 0] type='299973 * int64'>)
So what happens if we try to compute something with the electrons’ $p_T$ and the muons’ $\eta$?
events.electron.pt * np.sinh(events.muon.eta)
---------------------------------------------------------------------------
ValueError Traceback (most recent call last)
Cell In[33], line 1
----> 1 events.electron.pt * np.sinh(events.muon.eta)
File ~/micromamba/envs/awkward-docs/lib/python3.11/site-packages/awkward/_operators.py:54, in _binary_method.<locals>.func(self, other)
51 if _disables_array_ufunc(other):
52 return NotImplemented
---> 54 return ufunc(self, other)
File ~/micromamba/envs/awkward-docs/lib/python3.11/site-packages/awkward/highlevel.py:1629, in Array.__array_ufunc__(self, ufunc, method, *inputs, **kwargs)
1564 """
1565 Intercepts attempts to pass this Array to a NumPy
1566 [universal functions](https://docs.scipy.org/doc/numpy/reference/ufuncs.html)
(...) 1626 See also #__array_function__.
1627 """
1628 name = f"{type(ufunc).__module__}.{ufunc.__name__}.{method!s}"
-> 1629 with ak._errors.OperationErrorContext(name, inputs, kwargs):
1630 return ak._connect.numpy.array_ufunc(ufunc, method, inputs, kwargs)
File ~/micromamba/envs/awkward-docs/lib/python3.11/site-packages/awkward/_errors.py:80, in ErrorContext.__exit__(self, exception_type, exception_value, traceback)
78 self._slate.__dict__.clear()
79 # Handle caught exception
---> 80 raise self.decorate_exception(exception_type, exception_value)
81 else:
82 # Step out of the way so that another ErrorContext can become primary.
83 if self.primary() is self:
File ~/micromamba/envs/awkward-docs/lib/python3.11/site-packages/awkward/highlevel.py:1630, in Array.__array_ufunc__(self, ufunc, method, *inputs, **kwargs)
1628 name = f"{type(ufunc).__module__}.{ufunc.__name__}.{method!s}"
1629 with ak._errors.OperationErrorContext(name, inputs, kwargs):
-> 1630 return ak._connect.numpy.array_ufunc(ufunc, method, inputs, kwargs)
File ~/micromamba/envs/awkward-docs/lib/python3.11/site-packages/awkward/_connect/numpy.py:469, in array_ufunc(ufunc, method, inputs, kwargs)
461 raise TypeError(
462 "no {}.{} overloads for custom types: {}".format(
463 type(ufunc).__module__, ufunc.__name__, ", ".join(error_message)
464 )
465 )
467 return None
--> 469 out = ak._broadcasting.broadcast_and_apply(
470 inputs,
471 action,
472 depth_context=depth_context,
473 lateral_context=lateral_context,
474 allow_records=False,
475 function_name=ufunc.__name__,
476 )
478 out_named_axis = functools.reduce(
479 _unify_named_axis, lateral_context[NAMED_AXIS_KEY].named_axis
480 )
481 if len(out) == 1:
File ~/micromamba/envs/awkward-docs/lib/python3.11/site-packages/awkward/_broadcasting.py:1219, in broadcast_and_apply(inputs, action, depth_context, lateral_context, allow_records, left_broadcast, right_broadcast, numpy_to_regular, regular_to_jagged, function_name, broadcast_parameters_rule)
1217 backend = backend_of(*inputs, coerce_to_common=False)
1218 isscalar = []
-> 1219 out = apply_step(
1220 backend,
1221 broadcast_pack(inputs, isscalar),
1222 action,
1223 0,
1224 depth_context,
1225 lateral_context,
1226 {
1227 "allow_records": allow_records,
1228 "left_broadcast": left_broadcast,
1229 "right_broadcast": right_broadcast,
1230 "numpy_to_regular": numpy_to_regular,
1231 "regular_to_jagged": regular_to_jagged,
1232 "function_name": function_name,
1233 "broadcast_parameters_rule": broadcast_parameters_rule,
1234 },
1235 )
1236 assert isinstance(out, tuple)
1237 return tuple(broadcast_unpack(x, isscalar) for x in out)
File ~/micromamba/envs/awkward-docs/lib/python3.11/site-packages/awkward/_broadcasting.py:1197, in apply_step(backend, inputs, action, depth, depth_context, lateral_context, options)
1195 return result
1196 elif result is None:
-> 1197 return continuation()
1198 else:
1199 raise AssertionError(result)
File ~/micromamba/envs/awkward-docs/lib/python3.11/site-packages/awkward/_broadcasting.py:1166, in apply_step.<locals>.continuation()
1164 # Any non-string list-types?
1165 elif any(x.is_list and not is_string_like(x) for x in contents):
-> 1166 return broadcast_any_list()
1168 # Any RecordArrays?
1169 elif any(x.is_record for x in contents):
File ~/micromamba/envs/awkward-docs/lib/python3.11/site-packages/awkward/_broadcasting.py:670, in apply_step.<locals>.broadcast_any_list()
667 nextinputs.append(x)
668 nextparameters.append(NO_PARAMETERS)
--> 670 outcontent = apply_step(
671 backend,
672 nextinputs,
673 action,
674 depth + 1,
675 copy.copy(depth_context),
676 lateral_context,
677 options,
678 )
679 assert isinstance(outcontent, tuple)
680 parameters = parameters_factory(nextparameters, len(outcontent))
File ~/micromamba/envs/awkward-docs/lib/python3.11/site-packages/awkward/_broadcasting.py:1197, in apply_step(backend, inputs, action, depth, depth_context, lateral_context, options)
1195 return result
1196 elif result is None:
-> 1197 return continuation()
1198 else:
1199 raise AssertionError(result)
File ~/micromamba/envs/awkward-docs/lib/python3.11/site-packages/awkward/_broadcasting.py:1166, in apply_step.<locals>.continuation()
1164 # Any non-string list-types?
1165 elif any(x.is_list and not is_string_like(x) for x in contents):
-> 1166 return broadcast_any_list()
1168 # Any RecordArrays?
1169 elif any(x.is_record for x in contents):
File ~/micromamba/envs/awkward-docs/lib/python3.11/site-packages/awkward/_broadcasting.py:721, in apply_step.<locals>.broadcast_any_list()
717 for i, ((named_axis, ndim), x, x_is_string) in enumerate(
718 zip(named_axes_with_ndims, inputs, input_is_string)
719 ):
720 if isinstance(x, listtypes) and not x_is_string:
--> 721 next_content = broadcast_to_offsets_avoiding_carry(x, offsets)
722 nextinputs.append(next_content)
723 nextparameters.append(x._parameters)
File ~/micromamba/envs/awkward-docs/lib/python3.11/site-packages/awkward/_broadcasting.py:386, in broadcast_to_offsets_avoiding_carry(list_content, offsets)
384 return list_content.content[:next_length]
385 else:
--> 386 return list_content._broadcast_tooffsets64(offsets).content
387 elif isinstance(list_content, ListArray):
388 # Is this list contiguous?
389 if nplike.array_equal(
390 list_content.starts.data[1:], list_content.stops.data[:-1]
391 ):
392 # Does this list match the offsets?
File ~/micromamba/envs/awkward-docs/lib/python3.11/site-packages/awkward/contents/listoffsetarray.py:434, in ListOffsetArray._broadcast_tooffsets64(self, offsets)
429 next_content = self._content[this_start:]
431 if nplike.known_data and not nplike.array_equal(
432 this_zero_offsets, offsets.data
433 ):
--> 434 raise ValueError("cannot broadcast nested list")
436 return ListOffsetArray(
437 offsets, next_content[: offsets[-1]], parameters=self._parameters
438 )
ValueError: cannot broadcast nested list
This error occurred while calling
numpy.multiply.__call__(
<Array [[], [21.9, ...], ..., [48.1, 38.7]] type='299973 * var * fl...'>
<Array [[-0.782, -0.997, -0.326], ..., []] type='299973 * var * flo...'>
)
This is data structure-aware, array-oriented programming.
Application: Filtering events with an array of booleans.
events.MET.pt, events.MET.pt > 20
(<Array [21.9, 17, 19.1, 30.9, ..., 17.7, 24, 12.9] type='299973 * float32'>,
<Array [True, False, False, True, ..., False, True, False] type='299973 * bool'>)
len(events), len(events[events.MET.pt > 20])
(299973, 163222)
Application: Filtering particles with an array of lists of booleans.
events.electron.pt, events.electron.pt > 30
(<Array [[], [21.9, ..., 23.8], ..., [48.1, 38.7]] type='299973 * var * float32'>,
<Array [[], [False, ..., False], ..., [True, True]] type='299973 * var * bool'>)
ak.num(events.electron), ak.num(events.electron[events.electron.pt > 30])
(<Array [0, 4, 2, 1, 4, 1, 1, 1, ..., 0, 3, 0, 1, 0, 2, 2] type='299973 * int64'>,
<Array [0, 2, 0, 0, 1, 0, 0, 0, ..., 0, 2, 0, 0, 0, 0, 2] type='299973 * int64'>)
Quizlet: Using the reducer ak.any(), how would we select events in which any electron has $p_T > 30$ GeV/c$^2$?
events.electron[events.electron.pt > 30]
[[],
[{pt: 42.6, eta: -0.98, phi: -1.86, mass: 0.00867, charge: 1, ...}, ...],
[],
[],
[{pt: 30.7, eta: -0.61, phi: 1.01, mass: 0.0117, charge: -1, ...}],
[],
[],
[],
[{pt: 41, eta: -0.216, phi: 2.79, mass: -0.0128, charge: -1, ...}, {...}],
[],
...,
[],
[{pt: 30.2, eta: 1.84, phi: 1.94, mass: -0.00882, charge: 1, ...}],
[],
[{pt: 37, eta: -2.35, phi: 0.903, mass: -0.0594, charge: 1, ...}, {...}],
[],
[],
[],
[],
[{pt: 48.1, eta: 0.532, phi: -1.61, mass: 0.0127, charge: -1, ...}, ...]]
---------------------------------------------------------------------------
backend: cpu
nbytes: 20.5 MB
type: 299973 * var * Momentum4D[
pt: float32,
eta: float32,
phi: float32,
mass: float32,
charge: int32,
pfRelIso03_all: float32,
dxy: float32,
dxyErr: float32,
dz: float32,
dzErr: float32
]Awkward Array has two combinatorial primitives:
ak.cartesian() takes a Cartesian product of lists from $N$ different arrays, producing an array of lists of $N$-tuples.
ak.combinations() takes $N$ samples without replacement of lists from a single array, producing an array of lists of $N$-tuples.
numbers = ak.Array([[1, 2, 3], [], [4]])
letters = ak.Array([["a", "b"], ["c"], ["d", "e"]])
ak.cartesian([numbers, letters])
[[(1, 'a'), (1, 'b'), (2, 'a'), (2, 'b'), (3, 'a'), (3, 'b')],
[],
[(4, 'd'), (4, 'e')]]
--------------------------------------------------------------
backend: cpu
nbytes: 229 B
type: 3 * var * (
int64,
string
)values = ak.Array([[1.1, 2.2, 3.3, 4.4], [], [5.5, 6.6]])
ak.combinations(values, 2)
[[(1.1, 2.2), (1.1, 3.3), (1.1, 4.4), (2.2, ...), (2.2, 4.4), (3.3, 4.4)],
[],
[(5.5, 6.6)]]
--------------------------------------------------------------------------
backend: cpu
nbytes: 144 B
type: 3 * var * (
float64,
float64
)Often, it’s useful to separate the separate the left-hand sides and right-hand sides of these pairs with ak.unzip(), so they can be used in mathematical expressions.
electron_muon_pairs = ak.cartesian([events.electron, events.muon])
electron_muon_pairs.type.show()
299973 * var * (
Momentum4D[
pt: float32,
eta: float32,
phi: float32,
mass: float32,
charge: int32,
pfRelIso03_all: float32,
dxy: float32,
dxyErr: float32,
dz: float32,
dzErr: float32
],
Momentum4D[
pt: float32,
eta: float32,
phi: float32,
mass: float32,
charge: int32,
pfRelIso03_all: float32,
pfRelIso04_all: float32,
dxy: float32,
dxyErr: float32,
dz: float32,
dzErr: float32
]
)
electron_in_pair, muon_in_pair = ak.unzip(electron_muon_pairs)
electron_in_pair.type.show()
299973 * var * Momentum4D[
pt: float32,
eta: float32,
phi: float32,
mass: float32,
charge: int32,
pfRelIso03_all: float32,
dxy: float32,
dxyErr: float32,
dz: float32,
dzErr: float32
]
electron_in_pair.pt, muon_in_pair.pt
(<Array [[], [], [], [10.4, ...], ..., [], [], []] type='299973 * var * float32'>,
<Array [[], [], [], [54.3, ...], ..., [], [], []] type='299973 * var * float32'>)
ak.num(electron_in_pair), ak.num(muon_in_pair)
(<Array [0, 0, 0, 7, 0, 2, 1, 0, ..., 0, 0, 0, 2, 0, 0, 0] type='299973 * int64'>,
<Array [0, 0, 0, 7, 0, 2, 1, 0, ..., 0, 0, 0, 2, 0, 0, 0] type='299973 * int64'>)
To use Vector’s deltaR method ($\Delta R = \sqrt{\Delta\phi^2 + \Delta\eta^2}$), we need to have the electrons and muons in separate arrays.
electron_in_pair, muon_in_pair = ak.unzip(ak.cartesian([events.electron, events.muon]))
electron_in_pair.deltaR(muon_in_pair)
[[], [], [], [1.07, 0.405, 1.97, 2.78, 1.01, 0.906, 2.79], [], [2.55, 0.8], [2.63], [], [], [], ..., [0.44, 3.16, 3.01, 1.05], [3.06, 1.52], [], [], [], [2.54, 0.912], [], [], []] ---------------------------------------------- backend: cpu nbytes: 3.9 MB type: 299973 * var * float32
first_electron_in_pair, second_electron_in_pair = ak.unzip(ak.combinations(events.electron, 2))
first_electron_in_pair.deltaR(second_electron_in_pair)
[[], [2.02, 2.35, 1, 0.347, 1.3, 1.64], [2.96], [], [3.31, 1.23, 2.39, 3.8, 3.19, 2.61], [], [], [], [1.18, 2.05, 2.98, 2.26, 2.59, 1.9], [], ..., [2.87], [], [], [2.05, 2.92, 3.02], [], [], [], [2.96], [2.72]] ------------------------------------- backend: cpu nbytes: 3.7 MB type: 299973 * var * float32
Quizlet: What’s this?
(first_electron_in_pair + second_electron_in_pair).mass
[[], [52.1, 76.8, 22.8, 19.9, 39.1, 64.2], [36], [], [87.3, 18.1, 28.5, 63.9, 56.5, 12.2], [], [], [], [19.8, 44.7, 92.2, 16.7, 38.7, 46.9], [], ..., [27.3], [], [], [39.2, 107, 38.4], [], [], [], [40.6], [91.5]] -------------------------------------- backend: cpu nbytes: 3.7 MB type: 299973 * var * float32
Hist.new.Reg(120, 0, 120, name="mass (GeV)").Double().fill(
ak.flatten((first_electron_in_pair + second_electron_in_pair).mass, axis=-1)
).plot();